Bu ürün hakkında teknik detaylar, kullanım alanları ve teklif bilgisi için bizimle iletişime geçebilirsiniz.
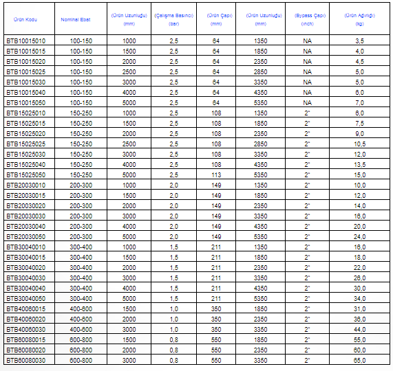
By-passlı tamir balonları bypass ihtiyacının duyulduğu boruların tamiratında kullanılan ürünlerdir. Tekerlek sistemleri ile boru içerisinde ilerlemede ve boru merkezini yakalamada kolaylık sağlamaktadır. SBR+NR karışımlı kauçuk ve mukavemetli bezlerden üretilmektedir. -30 °C ila +70 °C sıcaklık değerlerinde çalışabilmektedir. Çalışma basınçlarının 1,3 katı testlerden geçirilip yüksek patlama basınçlarına sahiptirler.
